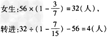
后村小学六年级56个学生,其中男生占 ,后来转进几个男同学,这时男同学占全班人数 ,转进多少个男同学? |

关注公众号回复:奥数答案
即可免费获得密码查看答案

米,还剩下( )米;如果用去它的
,还剩( )米。
的
少
的数是( )。
,第二小时行了全程的
,两个小时共行了全程的几分之几?行了2小时后,离乙地还有多少千米?
,还剩( )千克。一桶油用了
,还剩15千克,这桶油重( )千克。
,如果灌满7壶,桶内还剩56升水,每个水壶的容积是多少升?