已知△abc为等边三角形,其三边长如下图所示,求 ×1 的值。 |
|
|
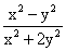
由2x-8=x+6解得x=14
由x+6=3y+2解得y=6
所以
×1
=
×
=1
关注公众号回复:奥数答案
即可免费获得密码查看答案

米,还剩下( )米;如果用去它的
,还剩( )米。
的
少
的数是( )。
,第二小时行了全程的
,两个小时共行了全程的几分之几?行了2小时后,离乙地还有多少千米?
,还剩( )千克。一桶油用了
,还剩15千克,这桶油重( )千克。
,如果灌满7壶,桶内还剩56升水,每个水壶的容积是多少升?