计算下面图形的体积。(单位:厘米)
取消
当前位置:
首页
>
小学数学题
>
小学六年级数学题
>
体积问题大全及答案
题目与解析
问题
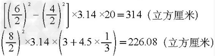
计算下面图形的体积。(单位:厘米)
答案与解析
关注公众号回复:奥数答案
即可免费获得密码查看答案
密码错误
查看答案
微信搜索天才奥数关注公众号
手机扫码关注公众号
查看答案
查看答案
密码错误
上一题:
如下图所示,把一个底面半径为10厘米,高为30厘米的圆柱沿高切去
后,求剩下部分的表面积和体积。
下一题:
有两个底面半径相等的圆柱,高的比是3∶5,第一个圆柱的体积是48cm
3
,第二个圆柱的体积比第一个多多少cm
3
?
热题推荐
在括号里填上适当的计量单位。
(1)一支铅笔长15( )。
(2)一间教室的占地面积是35( )。
(3)一个火柴盒的体积是24( )。
(4)一种保温瓶的容量是1.2( )。
2020-05-16
面积单位比长度单位和体积单位大。
[ ]
2020-05-16
在括号里填上适当的计量单位
1.小刚身高148( )。
2.一支铅笔重24( )。
3.教室占地面积约是63( )。
4.一辆货车载重是6( )。
5.一个铅笔盒的体积约是300( )。
6.墨水瓶的容积约是70( )。
7.我国国土面积是960万( )。
8.长江是我国第一长河,是世界第三长河,全长约是 6300( )。
9.课间休息10( )。
10.一个鸡蛋重55( )。
2020-05-16
如图,abc是直角三角形,以ab为轴并将三角形绕这个轴旋转一周得到一个旋转体,求这个旋转体的体积.
2020-05-16
如图是一个直角三角形,请回答:
(1)沿着图中的虚线旋转一周,可以得到一个立体图形,请写出这个立体图形的名称______.
(2)这个立体图形的体积是______.(写出计算过程)
2020-05-16
一个直角三角形的两条直角边长度分别是4厘米和3厘米.如果分别以两条直角边为轴旋转一周,得到什么样的图形?体积分别是多少?
2020-05-16
的少,求绕轴旋转0周后所形成的少形的体积.
2020-05-16
用一张长4分米,宽2分米的长方形纸,旋转一周得到一个圆柱体,得到的圆柱体积可能是______和______.
2020-05-16
如图,以ab为轴,旋转一周,得到的几何体的体积是多少?
2020-05-16
一个长方形长5厘米,宽2厘米,若以长为轴旋转一周,得到的图形是一个______形,这个图形的底面直径是______,高是______,这个图形的侧面积是______,体积是______;若以宽为轴旋转一周,得到的图形是一个______形,这个图形的底面直径是______,高是______,这个图形的侧面积是______,体积是______.
2020-05-16
相关题库
小学五年级数学题大全及答案
小学六年级数学题大全及答案
脱式计算问题大全及答案
小学四年级数学题大全及答案
小学二年级数学题大全及答案
分数的加减混合计算及应用题大全及答案
摸球问题大全及答案
20以内的加减法口算练习题
分数除法及应用题大全及答案
小学三年级数学题大全及答案
热门试卷
一年级上册
四年级下册
五年级下册
六年级上册
四年级上册
六年级下册
三年级下册
五年级上册
三年级上册
一年级下册